CONTACT
Patrick J. Hrdlicka
875 Perimeter Dr MS 2343
(Renfrew Hall 307)
Moscow, Idaho 83844-2343
USA
Email: hrdlicka@uidaho.edu
publications
Our group has coauthored 72 peer-reviewed articles and reviews (cited >1800 times; h-index = 25); four non-provisional patent applications (three issued); two book chapters; >30 published conference proceedings/abstracts; one published book review. For a complete publication list, see here.
[72] C. P. Shepard, R. G. Emehiser, S. Karmakar, and P. J. Hrdlicka. Factors impacting Invader-mediated recognition of double-stranded DNA. Molecules 2023, 28, 127.

[71] R. G. Emehiser, K. Dhuri, C. P. Shepard, S. Karmakar, R. Bahal and P. J. Hrdlicka. Serine-γPNA, Invader probes, and chimeras thereof: Three probe chemistries that enable sequence-unrestricted recognition of double-stranded DNA. Org. Biomol. Chem., 2022, 20, 8714-8724.

[70] S. P. Adhikari, S. Karmakar and P. J. Hrdlicka. Nicked Invader probes: Multistranded and sequence-unrestricted recognition of double-stranded DNA. Org. Biomol. Chem., 2022, 20, 1019-1030.

[69] S. P. Adhikari, P. Vukelich, D. C. Guenther, S. Karmakar and P. J. Hrdlicka. Recognition of double-stranded DNA using LNA-modified toehold Invader probes. Org. Biomol. Chem., 2021, 19, 9276–9290.

[68] S. Sivapragasam, B. Stark, A. V. Albrecht, P. Mao, R. G. Emehiser, P. J. Hrdlicka, G. M.K. Poon, J. J. Wyrick. CTCF binding modulates UV damage formation to promote mutation hotspots in melanoma. EMBO J., 2021, e107795.

[67] D. C. Guenther, R. G. Emehiser, A. Inskeep, S. Karmakar and P. J. Hrdlicka. Impact of non-nucleotidic bulges on recognition of mixed-sequence dsDNA by pyrene-functionalized Invader probes. Org. Biomol. Chem., 2020, 18, 4645-4655.

[66] R. G. Emehiser and P. J. Hrdlicka. Chimeric γPNA-Invader probes: Using intercalator-functionalized oligonucleotides to enhance the DNA-targeting properties of γPNA. Org. Biomol. Chem., 2020, 18, 1359-1368.
[65] R. G. Emehiser, E. Hall, D. C. Guenther, S. Karmakar and P. J. Hrdlicka. A head-to-head comparison of LNA, MPγPNA, Invader and INA probes targeting mixed-sequence double-stranded DNA. Org. Biomol. Chem., 2020, 18, 56-65.
[64] S. P. Adhikari, R. G. Emehiser, S. Karmakar, and P. J. Hrdlicka. Recognition of mixed-sequence DNA
targets using spermine-modified Invader probes. Org. Biomol. Chem., 2019, 17, 8795-8799.
[63] S. Karmakar, T. Horrocks, B. C. Gibbons, D. C. Guenther, R. Emehiser and P. J. Hrdlicka. Synthesis and biophysical characterization of oligonucleotides modified with O2'-alkylated RNA monomers featuring substituted pyrene moieties. Org. Biomol. Chem., 2019, 17, 609-621.
[62] P. J. Hrdlicka and S. Karmakar. 25 Years and still going strong: 2'-O-(Pyren-1-yl)methylribonucleotides - Versatile building blocks for applications in molecular biology, diagnostics and materials science. Org. Biomol. Chem., 2017, 15, 9760-9774.

[61] S. Karmakar, D. C. Guenther, B. C. Gibbons and P. J. Hrdlicka. Recognition of mixed-sequence DNA using double-stranded probes with interstrand zipper arrangements of O2'-triphenylene- and coronene-functionalized RNA monomers. Org. Biomol. Chem., 2017, 15, 9362-9371.
[60] M. Kaura and P. J. Hrdlicka. Efficient discrimination of single nucleotide polymorphisms (SNPs) using oligonucleotides modified with C5-pyrene-functionalized DNA and flanking Locked Nucleic Acid (LNA) monomers. Chem. Asian J., 2016, 11, 1366-1369.

[59] B. A. Anderson and P. J. Hrdlicka. Merging two strategies for mixed-sequence recognition of double-stranded DNA: Pseudocomplementary Invader probes. J. Org. Chem., 2016, 81, 3335-3346.

[58] S. Geny, P. M. D Moreno, T. Krzywkowski, N. K. Andersen, A. J. Isse, A. M. El-Madani, C. Lou, Y. V. Pabon, O. Gissberg, B. A. Anderson, E. M. Zaghloul, R. Zain, P. J. Hrdlicka, P. T. Jørgensen, M. Nilsson, K. E. Lundin, E. B. Pedersen, J. Wengel, and C. I. E. Smith. Next generation bis-locked nucleic acids with stacking linker and 2´-glycylamino-LNA show enhanced invasion into supercoiled duplex DNA. Nucleic Acids Res., 2016, 44, 2007-2019.

[57] D. G. Singleton, R. Hussain, G. Siligardi, P. Kumar, P. J. Hrdlicka, N. Berova and E. Stulz. Increased duplex stabilization in porphyrin-LNA zipper arrays with structure dependent excitonic coupling. Org. Biomol. Chem., 2016, 14, 149-157.

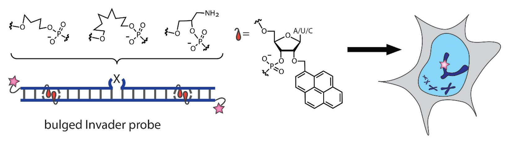
[56] D. C. Guenther, S. Karmakar and P. J. Hrdlicka. Bulged Invader probes: Activated duplexes for mixed-sequence dsDNA recognition with improved thermodynamic and kinetic profiles. Chem. Commun., 2015, 51, 15051-15054.

[55] B. A. Anderson, S. Karmakar and P. J. Hrdlicka. Mixed-sequence recognition of double-stranded DNA using enzymatically stable phosphorothioate Invader probes. Molecules, 2015, 20, 13780-13793.

[54] B. A. Anderson and P. J. Hrdlicka. Synthesis and characterization of oligodeoxyribonucleotides modified with 2'-thio-2'-deoxy-2'-S-(pyren-1-yl)methyluridine. Bioorg. Med. Chem. Lett., 25, 3999-4004.

[53] D. C. Guenther, G. H. Anderson, S. Karmakar, B. A. Anderson, B. A. Didion, W. Guo, J. P. Verstegen and P. J. Hrdlicka. Invader probes: Harnessing the energy of intercalation to facilitate recognition of chromosomal DNA for diagnostic applications. Chem. Sci., 2015, 6, 5006-5015.

[52] M. Kaura and P. J. Hrdlicka. Locked Nucleic Acid (LNA) induced effect on hybridization and fluorescence properties of oligodeoxyribonucleotides modified with nucleobase-functionalized DNA monomers. Org. Biomol. Chem., 2015, 13, 7236-7247.

[51] B. A. Anderson, J. J. Onley and P. J. Hrdlicka. Recognition of double-stranded DNA using energetically activated duplexes modified with N2'-pyrene-, perylene-, or coronene-functionalized 2'-N-methyl-2'-amino-DNA monomers. J. Org. Chem., 2015, 80, 5395-5406 (Featured Article).

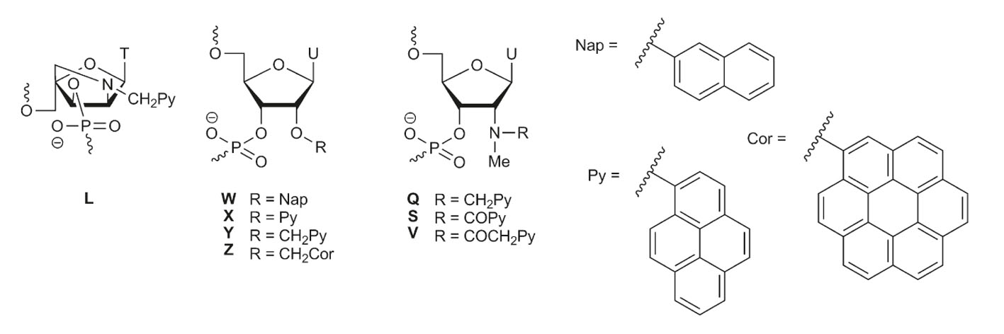
[50] S. Karmakar, A. S. Madsen, D. C. Guenther, B. C. Gibbons and P. J. Hrdlicka. Recognition of double-stranded DNA using energetically activated duplexes with interstrand zippers of 1-, 2- or 4-pyrenyl-functionalized O2'-alkylated RNA monomers. Org. Biomol. Chem., 2014, 12, 7758-7773.

[49] B-A. F. Kengne, S. Karmakar, M. Kaura, G. Corti, V. V. R. Sai, I. B. Niraula, A. Larin, J. Hall, D. Sowell, P. J. Hrdlicka, V. Dobrokhotov and D. N. McIlroy. Self-assembled monolayers of thiols adsorbed on Au/ZnO-functionalized silica nanosprings: Photoelectron spectroscopy-analysis and detection of vaporized explosives. ACS Appl. Mater. Interfaces, 2014, 6, 13355-13366.

[48] D. C. Guenther, P. Kumar, B. A. Anderson and P. J. Hrdlicka. C5-Amino acid functionalized LNA: Positively poised for antisense applications. Chem. Commun., 2014, 50, 9007-9009.

[47] M. Kaura, P. Kumar and P. J. Hrdlicka. Synthesis, hybridization characteristics and fluorescence properties of oligonucleotides modified with nucleobase-functionalized LNA (Locked Nucleic Acid) adenosine and cytidine monomers. J. Org. Chem., 2014, 79, 6256-6268.

[46] M. Kaura, D. C. Guenther and P. J. Hrdlicka. Carbohydrate-functionalized Locked Nucleic Acids (LNAs): Oligonucleotides with extraordinary binding affinity, target specificity and enzymatic stability. Org. Lett., 2014, 16, 3308-3311.

[45] P. Kumar, B. Bharal, B. A. Anderson, D. C. Guenther, M. E. Østergaard, P. K. Sharma and P. J. Hrdlicka. C5-Alkynyl functionalized alpha-L-LNA: Synthesis, thermal denaturation experiments and enzymatic stability. J. Org. Chem., 2014, 79, 5062-5073.

[44] P. Kumar, M. E. Østergaard, B. Bharal, B. A. Anderson, D. C. Guenther, M. Kaura, D. J. Raible, P. K. Sharma and P. J. Hrdlicka. Synthesis and biophysical properties of C5-functionalized LNA (Locked Nucleic Acid). J. Org. Chem., 2014, 79, 5047-5061.

[43] N. K. Andersen, B. A. Anderson, J. Wengel and P. J. Hrdlicka. Synthesis and characterization of oligodeoxyribonucleotides modified with 2'-amino-alpha-L-LNA adenine monomers – High-affinity targeting of single-stranded DNA. J. Org. Chem., 2013, 78, 12690-12702.

[42] S. Karmakar, D. C. Guenther and P. J. Hrdlicka. Recognition of mixed-sequence DNA duplexes: Design guidelines for Invaders based on 2'-O-(pyren-1-yl)methyl-RNA monomers. J. Org. Chem., 2013, 78, 12040-12048.

[41] S. Sau, A. S. Madsen, P. Podbevsek, N. K. Andersen, T. S. Kumar, S. Andersen, R. L. Rathje, B. A. Anderson, D. C. Guenther, S. Karmakar, P. Kumar, J. Plavec, J. Wengel and P. J. Hrdlicka. Identification and characterization of second-generation Invader Locked Nucleic Acids (LNAs) for mixed-sequence recognition of double-stranded DNA. J. Org. Chem. 2013, 78, 9560-9570.

[40] B. Denn, S. Karmakar, D. C. Guenther and P. J. Hrdlicka. Sandwich assay for mixed-sequence recognition of double-stranded DNA: Invader-based detection of targets specific to foodborne pathogens. Chem. Comm. 2013, 49, 9851-9853.

[39] B. A. Didion, S. Karmakar, D. C. Guenther, S. Sau, J. P. Verstegen and P. J. Hrdlicka. Invaders: Recognition of double-stranded DNA using duplexes modified with interstrand zippers of 2'-O-(pyren-1-yl)methylribonucleotides. ChemBioChem, 2013, 14, 1534-1538.

[38] S. Karmakar and P. J. Hrdlicka. DNA strands with alternating incorporations of LNA and 2'-O-(pyren-1-yl)methyluridine: SNP-discriminating RNA detection probes. Chem. Sci., 2013, 4, 3447-3454.

[37] M. Kaura, P. Kumar and P. J. Hrdlicka. Synthesis and hybridization properties of oligonucleotides modified with 5-(1-aryl-1,2,3-triazol-4-yl)-2'-deoxyuridines. Org. Biomol. Chem., 2012, 10, 8575-8578 ('hot communication').

[36] S. P. Sau, P. Kumar, P. K. Sharma and P. J. Hrdlicka. Fluorescent Intercalator Displacement Replacement (FIDR) Assay: Determination of relative thermodynamic and kinetic parameters in triplex formation - A case study using triplex-forming LNAs. Nucleic Acids Res., 2012, 40, e162.

[35] S. K. Rastogi, C. M. Gibson, J. R. Branen, D. E. Aston, A. L. Branen and P. J. Hrdlicka. DNA detection on lateral flow test strips: Enhanced signal sensitivity using LNA-conjugated gold nanoparticles. Chem. Commun, 2012, 48, 7714-7716.

[BC2] P. J. Hrdlicka and Michael E. Østergaard. Fluorophore-functionalized Locked Nucleic Acids (LNAs). In “DNA Conjugates and Sensors, RSC Biomolecular Science Series”, edited by K. R. Brown and T. Brown (RSC Publishing, 2012), Vol. 26, 1-33.

[34] G. Wang, M. R. Papasani, P. Cheguru, P. J. Hrdlicka and R. A. Hill. Gold-peptide nanoconjugate cellular uptake is modulated by serum proteins. Nanomedicine: NBM, 2012, 8, 822-832.

[33] S. P. Sau and P. J. Hrdlicka. C2'-Pyrene-functionalized triazole-linked DNA: Universal DNA/RNA hybridization probes. J. Org. Chem., 2012, 77, 5-16.

[32] S. Karmakar, B. A. Anderson, R. L. Rathje, S. Andersen, T. Jensen, P. Nielsen and P. J. Hrdlicka. High-affinity DNA-targeting using readily accessible mimics of N2’-functionalized 2’-amino-alpha-L-LNA. J. Org. Chem., 2011, 76, 7119-7131.

[31] Michael E. Østergaard and Patrick J. Hrdlicka. Pyrene-functionalized oligonucleotides and locked nucleic acids (LNAs): Tools for fundamental research, diagnostics, and materials science. Chem. Soc. Rev, 2011, 40, 5771-5788.
[30] P. Kumar, M. E. Østergaard, and P. J. Hrdlicka. Preparation of C5-functionalized Locked Nucleic Acids (LNAs). Curr. Protocols Nucleic Acid Chem., 2011, 44, 4.43.1-4.43.22. 
[29] M. E. Østergaard, P. Kumar, B. Baral, D. C. Guenther, B. A. Anderson, F. M. Ytreberg, L. Deobald, A. J. Paszczynski, P. K. Sharma and P. J. Hrdlicka. C5-Functionalized DNA, LNA and alpha-L-LNA: Improved positional control of polarity-sensitive fluorophores facilitates improved SNP-typing. Chem. Eur. J., 2011, 17, 3157-3165.
[28] V. V. R. Sai, D. Gangadean, I. Niraula, G. Corti, D. N. McIlroy, D. E. Aston, J. R. Branen, and P. J. Hrdlicka. Characterization of Au- and Ag-nanoparticle coated silica nanosprings – Toward SERS based diagnostic applications. J. Phys. Chem. C, 2011, 115, 453-459.
[27] M. E. Østergaard, J. Maiti, B. R. Babu, J. Wengel, and P. J. Hrdlicka. Glowing LNA as nucleic acid detection probes – Nucleobase analogs and insights into probe design. Bioorg. Med. Chem. Lett., 2010, 20, 7265-7268.
[26] R. N. Veedu, H. R. Burri, P. Kumar, P. K. Sharma, P. J. Hrdlicka, B. Vester, and J. Wengel. Polymerase-directed synthesis of C5-ethynyl Locked Nucleic Acids. Bioorg. Med. Chem. Lett, 2010, 22, 6565-6568.
[25] M. E. Østergaard, P. Cheguru, M. R. Papasani, R. A. Hill, and P. J. Hrdlicka. Glowing LNA – Brightly fluorescent probes for detection of nucleic acids in cells. J. Am. Chem. Soc., 2010, 132, 14221-14228.
[24] M. E. Østergaard, D. C. Guenther, P. Kumar, B. Baral, L. Deobald, A. J. Paszczynski, P. K. Sharma and P. J. Hrdlicka. Pyrene-functionalized triazole-linked 2’-deoxyuridines - probes for discrimination of single nucleotide polymorphisms (SNPs). Chem. Commun., 2010, 4929-4931.
[23] S. P. Sau, T. S. Kumar and P. J. Hrdlicka. Invader LNA – Efficient targeting of short DNA Duplexes. Org. Biomol. Chem., 2010, 8, 2028-2036.

[22] M. E. Østergaard, P. Kumar, B. Baral, D. J. Raible, T. S. Kumar, B. A. Anderson, D. C. Guenther, L. Deobald, A. J. Paszczynski, P. K. Sharma and P. J. Hrdlicka. C5-Functionalized LNA: Unpalleled hybridization properties and enzymatic stability. ChemBioChem, 2009, 10, 2740-2743.
[21] S. P. Sau, P. Kumar, B. A. Anderson, M. E. Østergaard, L. Deobald, A. J. Paszczynski, P. K. Sharma and P. J. Hrdlicka. Optimized DNA-Targeting using triplex forming C5-alkynyl functionalized LNA”, Chem. Commun, 2009, 6756-6758.
[20] S. K. Rastogi, N. N. Mishra, M. E. Østergaard, E. Cameron, B. Finaloski, P. J. Hrdlicka and W. C. Maki. Hybridization study of PNA-DNA in liquid-solid phase for biosensor application”, Anal. Lett., 2009, 42, 2485-2495.

[19] B. Baral, P. Kumar, B. A. Anderson, M. E. Østergaard. P. K. Sharma and P. J. Hrdlicka. Optimized synthesis of [3-15N]-labeled uridine phosphoramidites. Tetrahedron Lett., 2009, 50, 5850-5852.
[18] T. S. Kumar, M. E. Østergaard, P. K. Sharma, P. Nielsen, J. Wengel and P. J. Hrdlicka. Parallel RNA-strand recognition by 2'-amino-beta-L-LNA. Bioorg. Med. Chem. Lett., 2009, 19, 2396-2399.

[17] J. W. Rigoli, M. E. Østergaard, K. M. Canady, D. C. Guenther and P. J. Hrdlicka. Selective deacylation of peracylated ribonucleosides. Tetrahedron Lett., 2009, 50, 1751-1753.
[16] T. S. Kumar, A. S. Madsen, M. E. Østergaard, S. P. Sau, J. Wengel and P. J. Hrdlicka. Functionalized 2'-amino-alpha-L-LNA - Directed positioning of intercalators for DNA targeting. J. Org. Chem. 2009, 74, 1070-1081. 
[BC1] D. Choi, D. McIlroy, J. Nagler, E. Aston, P. J. Hrdlicka, K. Gustin, R. Hill, D. Stenkamp and J. Branen. 1-Dimensional silica structures and their applications to the biological sciences in “Nanomaterials for the Life Sciences, Nanostructured Oxides”, edited by C. Kumar (Wiley, 2009), Vol. 2, 83-108.
[15] T. S. Kumar, P. Kumar, P. K. Sharma and P. J. Hrdlicka. Optimized synthesis of LNA uracil nucleosides. Tetrahedron Lett., 2008, 49, 7168-7170.
[14] T. S. Kumar, A. S. Madsen, M. E. Østergaard, J. Wengel and P. J. Hrdlicka. Nucleic acid structural engineering using pyrene functionalized 2'-amino-alpha-L-LNA monomers and abasic sites. J. Org. Chem. 2008, 73, 7060-7066.
[13] B. Vester, A. M. Boel, S. Lobedanz, B. R. Babu, M. Raunkjær, D. Lindegaard, Raunak, P. J. Hrdlicka, T. Højland, P. K. Sharma, T. S. Kumar, P. Nielsen and J. Wengel. Chemically modified oligonucleotides with retained RNaseH response. Bioorg. Med. Chem. Lett. 2008, 18, 2296-2300.
[12] T. Umemoto, P. J. Hrdlicka, B. R. Babu and J. Wengel. Sensitive SNP dual-probe assays based on pyrene-functionalized 2'-amino-LNA: Lessons to be learned. ChemBioChem, 2007, 8, 2240-2248.
[11] T. S. Kumar, J. Wengel and P. J. Hrdlicka. 2'-N-(pyren-1-yl)acetyl-2'-amino-alpha-L-LNA: Synthesis and detection of single nucleotide mismatches in DNA and RNA targets. ChemBioChem, 2007, 8, 1122-1125.
Dr. Hrdlicka's undergrad and Ph.D work
[10] A. S. Madsen, P. J. Hrdlicka, T. S. Kumar and J. Wengel. Synthesis, nucleic acid hybridization properties and molecular modeling studies of conformationally restricted 3'-O,4'-C-methylene-linked alpha-L-ribonucleotides”, Carbohydr. Res. 2006, 341, 1398-1407.
[9] T. S. Kumar, A. S. Madsen, J. Wengel and P. J. Hrdlicka. Synthesis and hybridization Studies of 2'-amino-alpha-L-LNA and a tetracyclic ‘locked LNA’. J. Org. Chem. 2006, 71, 4188-4201.
[8] P. J. Hrdlicka, T. S. Kumar and J. Wengel. Synthesis and thermal denaturation studies of conformationally restricted 3'-C-ethynyl-3'-O,4'-C-methyleneribonucleotides. Eur. J. Org. Chem. 2005, 5184-5188.
[7] P. J. Hrdlicka, B. R. Babu, M. D. Sørensen, N. Harrit and J. Wengel. Multilabeled pyrene-functionalized 2'-amino-LNA probes for nucleic acid detection in homogenous fluorescence assays. J. Am. Chem. Soc. 2005, 127, 13293-13299.
[6] P. J. Hrdlicka, T. S. Kumar and J. Wengel. Targeting of mixed sequence double-stranded DNA using pyrene-functionalized 2'-amino-alpha-L-LNA. Chem. Commun. 2005, 4279-4281.
[5] B. R. Babu, P. J. Hrdlicka, C. J. McKenzie and J. Wengel. Optimized DNA targeting using N,N-bis(2-pyridylmethyl)-β-alanyl 2'-amino-LNA. Chem. Commun. 2005, 1705-1707.
[4] P. J. Hrdlicka, N. K. Andersen, J. S. Jepsen, F. G. Hansen, K. F. Haselmann, C. Nielsen and J. Wengel. Synthesis and biological evaluation of branched and conformationally restricted analogs of the anticancer compounds 3'-C-ethynyluridine (EUrd) and 3'-C-ethynylcytidine (ECyd). Bioorg. Med. Chem. 2005, 13, 2597-2621.
[3] P. J. Hrdlicka, J. S. Jepsen, C. Nielsen and J. Wengel. Synthesis and biological evaluation of nucleobase-modified analogs of the anticancer compounds 3'-C-ethynyluridine (EUrd) and 3'-C-ethynylcytidine (ECyd). Bioorg. Med. Chem. 2005, 13, 1249-1260.
[2] P. J. Hrdlicka, B. R Babu, M. D. Sørensen and J. Wengel. Interstrand communication between 2'-N-(pyren-1-yl)methyl-2'-amino LNA monomers in nucleic acid duplexes: Directional control and signalling of full complementarity. Chem. Commun. 2004, 1478–1479.
[1] P. J. Hrdlicka, A. B. Sørensen, B. R. Poulsen, G. J. G. Ruijter, J. Visser and J. J. L. Iversen. Characterization of nerolidol biotransformation based on indirect on-line estimation of biomass concentration and physiological state in batch cultures of Aspergillus niger. Biotechnol. Prog. 2004, 20, 368–376.




